Shop in your local currency and language

Choose another country or region to see specific content for your location and shop online.

United Kingdom
Viral vectors

Application note: Transient cell line for high-yield, scalable rAAV production

Apr 29, 2026

Our transient cell line enables scalable rAAV production with low encapsidated host cell DNA

The landscape of recombinant adeno-associated virus (rAAV) manufacturing is witnessing a transformative shift, where stable producer cell lines are emerging as the cell factories of the future. However, the move toward producer cell lines is a nuanced journey, requiring the use of transient transfection cell lines where flexibility and speed are of essence. To address these needs, we developed a human embryonic kidney (HEK) 293 suspension cell line, the ELEVECTA™ transient cell line designed to seamlessly integrate into various research workflows or large-scale GMP production. Here we demonstrate its capability for efficient and scalable production of rAAVs across multiple serotypes with low levels of encapsidated host cell DNA (hcDNA).

Introduction

The ELEVECTA transient cell line offers a simple solution for scalable AAV production. It’s a HEK293-derived suspension cell line that harnesses the power of transient transfection to deliver high titers across multiple rAAV serotypes. The cell line is robust to scale with proven performance between 15 mL microbioreactors and the Xcellerex™ XDR-10 L and X-platform 50 L bioreactors. Together with the cell line, we developed an optimized good manufacturing practice (GMP) compatible HyClone™ prime expression medium that supports high cell density and efficient transfection processes. In this work, by combining the ELEVECTA transient cell line and HyClone prime expression medium, we demonstrated average rAAV8 titers of 4.9 × 1011 viral genomes (vg) per mL (± 5.6 × 1010 vg per mL) with an average of 52% full capsids (± 6.5%) in XDR-10 L bioreactors.

In addition to achieving high cell densities with low cell aggregation and relevant rAAV titers, the ELEVECTA transient cell line showcases a significant reduction of encapsidated hcDNA in the final rAAV product.

The reduction of encapsidated hcDNA is the result of DFFB gene (DNA fragmentation factor subunit beta) inactivation, which reduces DNA fragmentation upon cell death. Encapsidated hcDNA is a product-related impurity that “may have adverse effects on product quality and safety” according to FDA guidance (1). With the ELEVECTA transient cell line, we demonstrate ≤ 12.4 nanograms (ng) hcDNA per 1014 vg in the 10 L scaled up process, a 100-fold reduction over another commercially available cell line.

Detailed materials and methods are found at the end of this article.


Results

Significant reduction in host cell DNA with the ELEVECTA™ transient cell line

To understand ELEVECTA transient cell line performance, hcDNA levels were quantified and compared to a reference FreeStyle 293-F control cell line. Bioreactor rAAV production was performed at the 3 L and 10 L scale, followed by subsequent purification via affinity chromatography and anion exchange (AIEX) chromatography enrichment of full capsids. The ELEVECTA transient cell line hcDNA concentrations (including encapsidated) ranged between 6.4 and 12.4 ng/1014 vg, which was approximately a two-log reduction in hcDNA compared to the 293-F samples that yielded between 922 and 1130 ng/1014 vg. Importantly, hcDNA levels remained consistent after enrichment of full particles via AIEX for both cell lines, which indicates that the majority of the hcDNA impurities after capture are encapsidated (Fig 1). Regulatory guidance recommends reducing any non-vector DNA contamination in the final product, and there’s a regulatory expectation to control residual DNA to ≤ 10 ng per administered dose (1, 2, 3). Residual DNA includes both DNA outside of viral capsids and encapsidated DNA impurities (such as plasmid DNA or hcDNA) (1, 4). Up until now, however, the residual DNA guidelines have been difficult to meet for rAAV therapies due to large quantities of encapsidated DNA impurities. This level of impurity often comes with recommended mitigations such as quality data, risk assessments, and control strategies (1). Reducing the total hcDNA to levels that could fall below the overall residual DNA guideline limits may substantially simplify these risk mitigation strategies.

Comparison of host cell DNA levels

Fig 1. Comparison of host cell DNA (hcDNA) levels (nanograms [ng] per 1014 viral genomes [vg]) after purification of viral vectors via affinity chromatography and anion exchange (AIEX) chromatography and analysis with a hcDNA qPCR assay. (A) Average hcDNA levels after purification of viral vectors for ELEVECTA transient cell line (n=3) and 293-F cell line (n = 3) at 3 L scale. Two asterisks (**) represent a p-value of < 0.01. Data shows mean values ± SD. (B) Average hcDNA levels after purification of viral vectors for ELEVECTA transient cell line. n = 3 for 3 L and 10 L and n = 1 for 50 L . Data shows mean values ± SD.


Evaluation of the ELEVECTA transient cell line for AAV production of various serotypes

To evaluate the performance of the ELEVECTA transient cell line for vector production across serotypes rAAV2, rAAV5, rAAV8, and rAAV9, a series of 15 mL microbioreactor runs were conducted. A power input of 120 W/m3 was utilized for microbioreactor and 3 L scale to enable improved gas transfer dynamics and reduced cell clustering behavior, where it has been demonstrated that an increase in power input for HEK cells can be beneficial to cell cultivation (5). The target power input for 10 L scale was 120 W/m3, but due to an updated characterization of the system, the power number (Np) was decreased, which resulted in an actual power input of 37 W/m3. No adverse effects were observed.

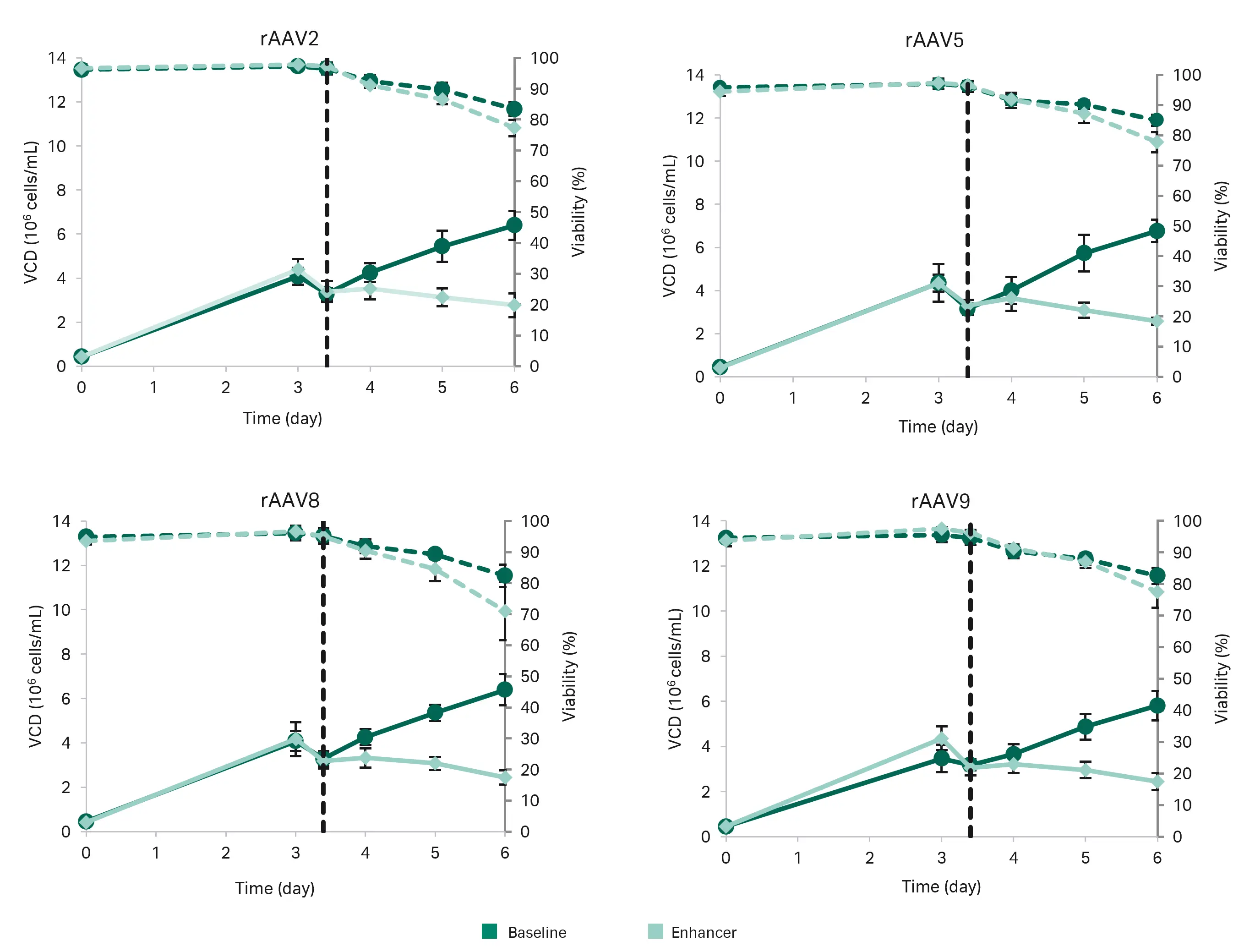
As shown in Figure 2, comparable growth and viability independent of the rAAV serotype was observed. Alongside the serotype assessment, the RevIT AAV Enhancer from Mirus Bio was used after transfection to further boost rAAV production. Cells demonstrated fast growth kinetics with population doubling times (PDT) around 19 h and high viability (> 95%) prior to the transfection step (Fig 2, black dotted line). Within the production phase from day 3 to 6, a notable difference in growth was observed regarding the presence or absence of the RevIT Enhancer. In bioreactors without RevIT, cells continued to grow to cell densities of up to 6 × 106 cells/mL, whereas with the RevIT supplemented cultures there was slight decrease of viable cell density (VCD) (Fig 2). A decrease in VCD and viability post-transfection is expected with a highly efficient transfection process and is an overall positive indication of a successful process.

Viable cell density and viability of the ELEVECTA

Fig 2. Viable cell density (solid lines) and viability (dashed lines) of the ELEVECTA transient cell line. Average data and standard deviations from three independent microbioreactor runs in duplicate (n = 6) are shown. Black dotted lines represent the transfection timepoint in which cell density was adjusted to reach the desired transfection VCD. Cultivation continued either without RevIT supplementation (baseline) or with addition of RevIT Enhancer (enhancer).


Three days post-transfection, vessels were harvested for analysis of genomic and capsid titers via qPCR and ELISA. Lysis was performed with Triton X-100 (versus Tween 20 solution in bench top bioreactors), however similar titers were attained between the two lysis methods (data not shown). As shown in Figure 3, in the non-supplemented baseline process, cells produced robust genomic titers ranging from 4.8 × 1010 vg/mL for rAAV2 and up to 2.4 × 1011 vg/mL for rAAV5. Titers were further improved with the supplementation of RevIT Enhancer in a serotype-dependent manner by a factor of 1.8 to 3.0 for rAAV2 to rAAV9, respectively. The addition of RevIT resulted in average volumetric titers of 8.3 × 1010 vg/mL (rAAV2), 4.9 × 1011 vg/mL (rAAV5), 4.0 × 1011 vg/mL (rAAV8) and 2.7 × 1011 vg/mL (rAAV9). A similar enhancer-dependent pattern increase was observed for capsid titers, which in turn yielded a calculated qPCR/ELISA ratio of 25% to 70% full AAV capsids (Fig 3).

Overall, data from the 15 mL microbioreactor experiments demonstrated that the ELEVECTA transient cell line can provide high titer productivity for various serotypes. To demonstrate the scalability of the process, we scaled up a representative process (serotype rAAV8 with RevIT Enhancer) in the following steps.

Productivity data of the ELEVECTA transient cell line

Fig 3. Productivity data of the ELEVECTA transient cell line for various serotypes in microbioreactors. Extensive optimization was not required to obtain these results. Average genome and capsid titers as well as fullness based on qPCR/ELISA data from three independent runs in duplicate (n = 6) are shown. Percent full capsids is calculated by dividing vg/mL by virus particles (vp)/mL. Error bars correspond to standard deviation of biological replicates. Baseline process corresponds to the non-supplemented process (left), whereas RevIT Enhancer was added to the supplemented process (+ RevIT Enhancer, right).


Process scalability assessment

To evaluate scalability, the rAAV8 production process was performed in 3 L (Applikon), 10 L (Cytiva XDR-10), and 50 L (Cytiva Xcellerex X-platform) bioreactors. The results in Figure 4 are from three production batches at 3 L and 10 L scales, and one batch at 50 L scale. We saw comparable cell growth and viability during scale-up with PDT around 19 h and high viability (> 95%) until the transfection step at day three (Fig 4). Within the production phase, from day 3 to 6, there was a slight decrease of VCD and cell viability over time, similar to the RevIT Enhancer supplemented microbioreactor trends in previous studies (Fig 2).

Viable cell density

Fig 4. Viable cell density (VCD) (solid lines) and viability data (dashed lines) for 3 L (n = 3), 10 L (n = 3), and 50 L bioreactor scales for the ELEVECTA transient cell line. All bioreactor runs were done with addition of the RevIT Enhancer. Day two samples were only taken for one 3 L and one 10 L bioreactor, thus there is no standard deviation for day two cell growth or viability. Transfection was performed on day three. Error bars correspond to standard deviation of biological replicates.


Bioreactors were harvested after a three-day production phase, in which cells were lysed and analyzed for genomic and capsid titers via ddPCR and ELISA, respectively. As shown in Figure 5, average genomic titers of 5.4 × 1011 vg/mL at 48% full capsids were achieved at the 3 L scale, and 4.9 × 1011 vg/mL at 52% full capsids were measured at the 10 L scale in an XDR-10 bioreactor. A genomic titer of 4.2 × 1011 vg/mL at 47% full capsids was achieved in the X-platform 50 L bioreactor. Overall, these results were highly comparable to the average titer observed at the 15 mL microbioreactor scale (3.9 × 1011 vg/mL at 58% full capsids, Fig 3), suggesting successful scale-up and process robustness in the benchtop bioreactor format and the larger-scale X-50.

rAAV8 titer comparison

Fig 5. rAAV8 titer comparison of 15 mL (n = 6), 3 L (n = 3), 10 L (n = 3), and 50 L (n = 3) bioreactor scales for the ELEVECTA transient cell line. Error bars correspond to standard deviation of biological replicates. Viral genomes were quantified with qPCR for 15 mL scale and ddPCR for 3 L and 10 L scale. Data shown includes use of RevIT Enhancer.


Additionally, to better understand the ELEVECTA transient cell line titers during scale-up without the RevIT enhancer, the process was performed at the 10 L scale for rAAV8 with no supplementation (one replicate, data not shown). The resulting titer was 2.7 × 1011 vg/mL (42% full capsids) compared to 1.5 × 1011 vg/mL (49% full capsids) in 15 mL microbioreactors (Fig 3). These results suggest that the process is scalable and with relevant rAAV titers with or without use of a titer enhancer.

Conclusions

The ELEVECTA transient cell line is a robust, fast-growing cell line delivering high titers and high percent full capsids that is suited for research and development as well as clinical and commercial stages. The cell line enables the production of AAV with very low amounts of encapsidated hcDNA that is consistent throughout the downstream purification steps and at various scales (≤ 12.4 ng/1014 vg for rAAV8). This may substantially simplify product risk assessments relating to residual DNA impurity levels. Additionally, scalability was demonstrated across microbioreactors to a 50 L bioreactor with consistent titers and full capsids greater than or equal to 3.9 × 1011 rAAV8 vg/mL and 47% full capsids, respectively. Having a high portion of full capsids may help ease the downstream purification challenges. Overall, the use of the ELEVECTA transient cell line in combination with HyClone prime expression medium and RevIT Enhancer results in a scalable, robust process that yields high titer rAAVs of multiple serotypes.

ACKNOWLEDGEMENTS

This work was performed by Ben Hudjetz, Sabine Schmidt-Hertel, Tamara Grabeck, Keerthana Srinivasan, Christian Niehus, Kelly Cybulski, Tala Calvi, Akshay Gutha Ravichandran, Julio Huato, Blake Heath, Nikola Strempel, Nick Marchand, Adam Hejmowski, Michelle Hussong, Timothy Erlandson, Dovile Woods, Michael Mühle, Nigel Jackson, Mark Schofield, and Michelle Olson Peabody.

Thank you to Mirus Bio for helpful discussions around using the RevIT AAV Enhancer during bioreactor process development.

 
AMENDMENTS

This document is an updated version (previous version dated 19 December 2024). The scale up process utilized in the original iteration of this application note from the microbioreactor and 3 L bioreactors used a power input number (P/V) or 120 W/m3 and therefore was used for scaling up into the XDR10. However, updated modelling and characterization of the XDR10 power number (Np) and subsequent updates to the Bioreactor Scaler Tool have shown that the Np for the XDR10 is significantly lower than previously measured. As a result, the agitation used in this application note for the XDR10 to achieve a P/V of 120 W/m3 is in fact 37 W/m3. The purpose of this amendment is to explain the difference in the P/V used in the scale up process described in this application note. For any further questions, please reach out to Cytiva.

 
REFERENCES
  1. U.S. Department of Health and Human Services, Food and Drug Administration. Chemistry, Manufacturing, and Control (CMC) Information for Human Gene Therapy Investigational New Drug Applications (INDs): Guidance for Industry. 2020;29-30.
  2. U.S. Department of Health and Human Services, Food and Drug Administration. Guidance for Industry: Characterization and Qualification of Cell Substrates and Other Biological Materials Used in the Production of Viral Vaccines for Infectious Disease Indications. 2010. https://www.fda.gov/media/78428/download. Accessed March 22, 2024.
  3. World Health Organization (WHO) Requirements for the Use of Animal Cells as in Vitro Substrates for the Production of Biologicals (Requirement for Biological Substance No. 50) WHO Expert Committee on Biological Standardization; Geneva, Swizerland: 1998. (WHO Technical Report Series, No. 878). Annex 1.
  4. Wright J. Product-related impurities in clinical-grade recombinant AAV vectors: characterization and risk assessment. Biomedicines. 2014;2(1):80-97; https://doi.org/10.3390/biomedicines2010080.
  5. Seidel S, Maschke R, Mozaffari F, Eibl-Schindler R, Eibl D. Improvement of HEK293 Cell Growth by Adapting Hydrodynamic Stress and Predicting Cell Aggregate Size Distribution. Bioengineering. 2023; 10(4): 478. doi: 10.3390/bioengineering10040478.
 
MATERIALS AND METHODS

Table 1. Plasmids

Description Supplier Product code Size (kb)
pALD-AAV2 Aldevron 5057-10 6.080
pALD-AAV5 Aldevron 5058-10 6.021
pALD-AAV8 Aldevron Custom product 6.083
pALD-AAV9 Aldevron Custom product 6.083
pALD-HELP Aldevron 5082-10 11.584
pAAV-LUC-GFP Aldevron Custom product 8.502

 

Table 2. Reagents

Description Supplier Product code
ELEVECTA transient cell line Cytiva ETCL-RUO
HyClone prime expression medium, liquid (1 L) Cytiva SH31199.02
RevIT AAV Enhancer Mirus Bio MIR8006
PEI MAX Kyfora Bio #24765-1
FreeStyle 293-F cells Thermo Fisher R79007
Expi293 expression medium Thermo Fisher A1435102
Sodium bicarbonate (NaHCO3) Sigma-Aldrich S6014-2.5KG

 

Microbioreactor testing

The ambr 15 microbioreactor system (Sartorius) was used. Three independent experimental runs with luciferase:green fluorescent protein (LUC-GFP) as transgene were performed with duplicates for individual conditions per run (total n = 6 per condition). The ELEVECTA transient cells were seeded at 4.0 × 105 viable cells per mL in HyClone prime expression medium without centrifugation in 13.7 mL. 293-F cells were seeded at 7.0 × 105 cells per mL in Expi293 medium. Three days after seeding, the cultures were diluted to obtain 3.3 × 106 viable cells in 12.9 mL, and transfection mixture was added to obtain a final cell density of 3 × 106 viable cells in 14 mL production volume. The RevIT enhancer (Mirus Bio) was added directly to specific cultures immediately after complex addition in a 1:1000 ratio. Bioreactors were harvested 72 h post-transfection. Microbioreactor parameters and transfection conditions are listed in Table 3.

Table 3. Microbioreactor setpoints and parameters

Parameter Value
Production volume 14 mL
pH range 7.3 ± 0.10 (post transfection),
PID control
DO (%) 40 (PID control, O2 on demand)
Temperature (°C) 37
Sparger airflow (VVM) 0.013
Maximum gas flow rates CO2 max: 1.24 mL/min,
O2 max: 0.91 mL/min
Agitation (W/m3) 120
Growth and production medium HyClone prime expression medium
Base 1 M sodium bicarbonate
Transfection
Plasmids pALD-HELP; pAAV-LUC-GFP; pALD-AAV2,5,8,9
Plasmid ratio 1:1:1 molar ratio
Transfection reagent PEI MAX
Complexation volume (%) 10
Target transfection cell density (viable cells/mL) 3.0 × 106
Plasmid DNA/cell 0.67 μg DNA/106 cells
Plasmid DNA to transfection reagent ratio 1:4
Complexation medium HyClone prime expression medium
Complexation time (min) 15 to 20
Day of transfection 3
Production phase /harvest Harvest at 3 days post-transfection
Lysis buffer 10×: D-PBS with 10% Triton X-100
Endonuclease C-Lecta Denarase, 60 U/mL
Time, temperature 30 min, 37°C

DO is dissolved oxygen. VVM is volumetric gas flow per minute.

 

Bioreactor scale-up

The Applikon bioreactor (Getinge) and Xcellerex XDR-10 bioreactor and X-platform X-50 bioreactor(Cytiva) were used for scalability studies. The ELEVECTA transient cell line cells, expanded in shake flask cultures, were inoculated at a cell density of approximately 2.5 × 105 cells/mL, reaching a starting volume of 2.1 L for the 3 L Applikon Bio bioreactor, 8.3 L for the 10 L Xcellerex XDR-10 bioreactor, and 40 L for the X-50 bioreactor. 293-F cells were seeded at 6.0 × 105 cells per mL in Expi293 medium. After 3 days, the cultures were diluted as required to a target transfection density of 3.3 × 106 cells/mL. RevIT enhancer was added to the diluted DNA prior to complexation in a 1:1000 ratio. The transfection complex solution was added to the bioreactors with a final approximate bioreactor volume of 2.3 L for the 3 L bioreactor, 9.2 L for the 10 L bioreactor, and 45 L for the 50 L bioreactor, reaching target transfection final cell density of 3 × 106 cells/mL. Harvest was performed 72 h post-transfection after the addition of endonuclease and 10× lysis buffer (Table 4).

Table 4. Bioreactor (3 L, 10 L, and 50 L) setpoints and parameters

Parameter Value
pH range pH range 7.3 +/- 0.1 (PID control)
DO (%) 40 (PID control, 02 on demand)
Temperature (°C) 37
Sparger airflow (VVM) 0.02
Maximum gas flow rates 3 L: CO2 max: 500 mL/min, O2 max: 500 mL/min
10 L: CO2 max: 400 mL/min, O2 max: 1000 mL/min
50 L: CO2 max: 400 mL/min, O2 max: 1000 mL/min
Agitation (W/m3) 120 (3 L); 37 (10 L); 50 (50 L)
Growth and production medium HyClone prime expression medium
Base 1 M sodium bicarbonate
Transfection
Plasmids pALD-HELP; pAAV-LUC-GFP; pALD-AAV8
Plasmid ratio 1:1:1 molar ratio
Transfection reagent PEI MAX
Complexation (%) 10% of total volume post-transfection
Target transfection cell density (viable cells/mL) 3.0 × 106
Plasmid DNA/cell 0.67 μg DNA/106 cells
Plasmid DNA to transfection reagent ratio 1:2
Complexation medium HyClone prime expression medium
Complexation time (min) 15 to 20
Day of transfection 3
Production phase/harvest Harvest at 3 days post-transfection
Lysis buffer 10× buffer formulation: 20 mM MgCl2, 10% Tween 20, 10 mM Tris, pH 8.0
Endonuclease C-Lecta Denarase, 25 U/mL
Lysis + endonuclease time, temperature 1 h, 37°C
Lysis + endonuclease agitation 120 W/m3 (3 L); 37 W/m3 (10 L); 50 W/m3 (50 L)

DO is dissolved oxygen. VVM is volumetric gas flow per minute.

 

Purification

Lysate pools from the 3 L and 10 L bioreactors producing rAAV8 were clarified using a three-stage filtration process made up of PDP8 and Bio10 depth filters followed by Supor™ EKV sterilizing-grade filters (Cytiva) run in series. Clarified pools coming from 10 L bioreactors were concentrated to a target 10-fold volumetric concentration factor using either hollow fiber TFF modules (300 kDa, Polysulfone, 0.5 mm inner diameter, 60 cm length; Cytiva) or T-series flat sheet TFF cassettes with Omega™ membrane (100 kDa, PES; Cytiva).

Affinity chromatography

Affinity chromatography was performed on an ÄKTA™ avant 150 chromatography system (Cytiva). The clarified lysate was loaded to a POROS GoPure AAVX (Thermo Fisher) prepacked 5 mL column. The column was equilibrated over 10 column volumes (CV) with 50 mM Tris, 0.5 M NaCl, pH 8.0. Prior to loading, the feed was spiked with EDTA to a final concentration of 10 mM. After the sample was loaded the column was washed with 10 CV of 50 mM Tris, 0.5 M NaCl, pH 8.0, followed by 10 CV of 50 mM Tris, pH 8.0. Elution was performed with 100 mM glycine pH 2.5, over 5 CV. The eluate was neutralized with Bis-Tris Propane (BTP), pH 9 at a ratio of 1:5 (neutralizing buffer:eluate).

Anion exchange chromatography

Anion exchange chromatography was performed using a Capto™ Q HiTrap™ 1 mL column (Cytiva) on an ÄKTA avant 25 system (Cytiva). A two-step elution method was utilized. The AIEX load was diluted by a factor of 20 with 25 mM BTP, pH 9.0, 2 mM MgCl2, 5% glycerol. This upfront dilution was done to ensure the feed was properly equilibrated to binding conditions. After the sample was loaded the column was washed with 25mM BTP, pH 9.0, 2 mM MgCl2, 5% glycerol over 5 CV. The first elution step was performed over 20 CV with 25 mM BTP, pH 9.0, 2 mM MgCl2, 5% glycerol adjusted to a conductivity of 5.5 mS/cm with sodium acetate. The second elution step was performed over 15 CV with 25 mM BTP, pH 9.0, 2 mM MgCl2, 5% glycerol adjusted to a conductivity of 9.0 mS/cm with sodium acetate. A strip step was then performed with 25 mM BTP, 1 M NaCl, pH 9.0 for 10 CV. All steps were performed at a flow rate of 2 CV per minute.

Analytical methods

Viral genome titer measurements

The viral genome titer was measured by either droplet digital polymerase chain reaction (ddPCR) or quantitative PCR (qPCR). The ddPCR assay used the Bio-Rad QX200 AutoDG Droplet Digital PCR System and qPCR was done in a Roche LightCycler 480. In both cases, samples were pretreated by DNase digestion then Proteinase K digestion, before additional dilution. The viral genome was quantified using PCR primer/probe combination from IDT targeting an SV40 amplicon of rAAV due to the presence of SV40 Poly A tail.

Capsid titer measurement

The PROGEN Quantitative ELISA kit corresponding to the analyzed serotype (CAT PRAAV2R, PRAAV5, PRAAV8XP, PRAAV9) was used according to the manufacturer’s instructions to perform a sandwich ELISA for the intact capsid titer determination of rAAV particles.

hcDNA analysis

Encapsidated hcDNA was quantified using the qPCR-based resDNASEQ Quantitative HEK293 DNA Kit (Applied Biosystems, #A46014). Samples were prepared using the HighPure Nucleic Acid Kit (Roche, #11858874001), which includes a Proteinase K treatment to release encapsidated hcDNA. Both kits were used according to the manufacturer’s instructions.

For microbioreactor work (Cytiva Cologne),the lab notebook references are VVP24-17, VVP24-18, and VVP24-21. Experimental work up to 10 L scale was performed November 2023–March 2024 and data is held within Cytiva Westborough and Cytiva Cologne. The 50 L run was performed in August 2025 and data is held within Cytiva Westborough.

 

DENARASE™ is a registered trademark of c-LEcta GmbH in the European Union (EU), United States of America (USA), United Kingdom (UK), China (CN), India (IN), South-Korea (KR) and Japan (JP). Expi293, Any other trademarks are the property of their respective owners.

Learn more about ELEVECTA transient cell line
Sign up for a meeting with a cell line specialist to learn about the ELEVECTA family of cell lines.

Did you find what you were looking for?