Shop in your local currency and language

Choose another country or region to see specific content for your location and shop online.

United Kingdom
Western blotting, Life science research

From Sequence to Solution: Accelerate Kinase Drug Discovery

Sep 9, 2025

Introduction

The rapid pace of drug discovery demands efficient technologies to accelerate target identification, characterization, and optimization.

A major bottleneck in early drug discovery is the slow, inefficient expression of viable drug targets using traditional cell-based methods, which are hindered by solubility, stability, and purification challenges. Nuclera’s eProtein Discovery™ system integrates AlphaFold-driven modeling, digital microfluidics, and cell-free synthesis, enabling functional protein production in 48 hours and expediting target availability.

Once expressed, confirming kinetic analysis and structure-activity relationships (SAR) is critical for selecting and refining drug candidates. Biacore™ surface plasmon resonance (SPR) provides real-time drug-target interaction data, delivering insights into binding kinetics, affinity, and specificity, all essential for lead optimization and efficacy assessment1-3.

Bruton’s Tyrosine Kinase (BTK) is critical in B-cell receptor signaling and a key target in leukemia, lymphoma, and autoimmune diseases. First-generation inhibitors like ibrutinib face resistance (e.g., C481S) and off-target effects4. Second-generation inhibitors (acalabrutinib, zanubrutinib) improve selectivity but still struggle with resistance and bioavailability issues5,6. Non-covalent inhibitors (fenebrutinib, vecabrutinib) retain activity against C481S mutants but bind BTK reversibly, requiring detailed kinetic characterization to assess their therapeutic potential7.

This study presents an integrated solution by Nuclera and Cytiva™, accelerating BTK-inhibitor screening from DNA to functional characterization in five days. The eProtein Discovery™ system enables high-yield Avi-tagged BTK expression, while Biacore™ SPR system delivers detailed kinetic and functional insights. This streamlined workflow enhances drug target production, accelerates screening, and enables faster, data-driven decision-making in kinase drug discovery.

Figure 1. DNA to protein characterization in a five-day workflow. Proteins are screened for optimal expression and purification using the eProtein Discovery™ system, which integrates digital microfluidics and cell-free protein synthesis. The best conditions are scaled up and biotinylated. Excess biotin in the sample is removed via buffer exchange before Biacore™ SPR analysis. Biotinylated proteins are then directly captured on Sensor Chip SA (Streptavidin) for characterization of drug-target interactions using Biacore 1S+ system.

Methods

eProtein Discovery™ system to screen and scale up protein

BTK gene fragments, including full-length (1-693), a truncated variant (211-659), and the kinase domain alone (392-659), were screened for expression yield and solubility against a panel of solubility tags and cell-free expression conditions (Cell-free Blends) using the eProtein Discovery™ system. The highest-yielding construct, BTK(BTK (392-659), was selected, and Avi-tags were introduced at the N- and C-terminus and the screen was repeated. The optimized construct was scaled up, and protein yield and purity were confirmed using SDS-PAGE.

Biotinylation

The purified Avi-tagged BTK proteins were biotinylated using BirA ligase, followed by buffer exchange with Zeba spin desalting columns to remove excess biotin and BirA. Biotinylation was confirmed using SDS-PAGE and western blotting with Streptavidin-A488. For a complete protocol, contact techsupport@nuclera.com.

Biacore™ SPR system to capture and characterisecharacterize protein

Biacore™ 1S+, a single-needle SPR system equipped with six flow-cells, was used for capture and characterization studies of BTK proteins.

Biotinylated BTK proteins (15-20 µg/mL) were captured on Sensor Chip SA or Sensor Chip NA (NeutrAvidin™) at 25°C using a 5 µL/min flow rate and 720-second contact time in HBS-P+ running buffer. The binding kinetics of BTK to the inhibitors vecabrutinib and fenebrutinib were analysedanalyzed using Biacore Single-Cycle Kinetics (SCK) assay. Biotinylated BTK was immobilized on Sensor Chip NA up to 2000 RU. The inhibitors were then injected at increasing concentrations ranging from 0.4 nM to 100 nM in three-fold dilutions, with a flow rate of 30 µL/min using an association time of 120 seconds and a dissociation time of 1200 seconds at 25°C. HBS-P+ buffer at pH 7.4, containing 10 mM MgCl2 and 5% DMSO, was used for running buffer and sample preparations.

Results and discussion

eProtein Discovery™ enables rapid identification of variants for SPR analysis using Biacore™ systems

To evaluate the expression of BTK, three BTK constructs were designed using integrated AlphaFold (Figure 2A) and screened against a panel of solubility tags and Cell-free Blends using the eProtein Discovery system™. The BTK kinase domain alone variant, BTK392-659, with an FH8 solubility tag, exhibited a nine-fold increase in expression over full length BTK (Figure 2B). Purification efficiency followed a similar trend, with BTK392-659 producing five-fold more purified protein than full-length BTK (Figure 2C), demonstrating the power of construct optimization in maximizing protein yield and stability.

 

(A) AlphaFold-guided design

 

 

(B) BTK variant expression screen

 

 

(C) BTK variant purification screen

 

Figure 2. BTK variant expression and purification screening using eProtein Discovery™ system. (A) eProtein Discovery™ AlphaFold structures of the BTK variants screened. (B) Expression screening of 192 conditions, evaluating BTK variants with seven solubility tags and a no-tag control across eight Cell-free Blends supplemented with different additives. (C) Purification screening of 30 selected conditions to assess yield and solubility.

Optimizing Avi-tag placement

Avi-tags were introduced to the N- or C-terminus of BTK392-659 (Figure 3A) to assess their impact on protein production. A slight drop in expression yield was observed from 6-8 µM (Figure 2B) to 5-6 µM (Figure 3B). However, Avi-tag placement did not adversely affect expression and purification, with a predicted purified yield of 2.5 µM for both (Figure 3C). Buffer alone remained the best additive, but in this case, the ZZ solubility tag maximized yield rather than FH8, reinforcing the importance of solubility tag screening.

(A) Avi-tag BTK392-659 eGene™ construct design

 

 

(B) Expression screen

 

 

(C) Purification screen

 

Figure 3. Expression and purification screening of Avi-tagged BTK(BTK (392-659) using the eProtein Discovery™ system. (A) eGene construct design for N- and C-terminal Avi-tagged variants. (B) Expression and (C) purification screening across seven solubility tags and a no-tag control in eight Cell-free Blends. The gray bar in (C) indicates the condition selected for scale-up.

Avi-tagged BTK scale up and biotinylation

Both Avi-tagged BTK392-659 variants containing the ZZ solubility tag were scaled up using buffer-only Cell-free Blends, yielding 250 µg/mL of purified protein (Figure 4). The eProtein Discovery™ screen successfully optimized Avi-tagged BTK production, accelerating scale-up for downstream functional studies. Additionally, these findings confirm that additional functional tags, such as Avi-tags, can be incorporated into gene fragments for production with the eProtein Discovery™ system.

Figure 4. SDS-PAGE analysis of scaled-up Avi-tagged BTK(BTK (392-659) using the eProtein Discovery™ system. (A) N-terminal Avi-tagged BTK and (B) C-terminal Avi-tagged BTK, both expressed with the ZZ solubility tag and buffer-only conditions.

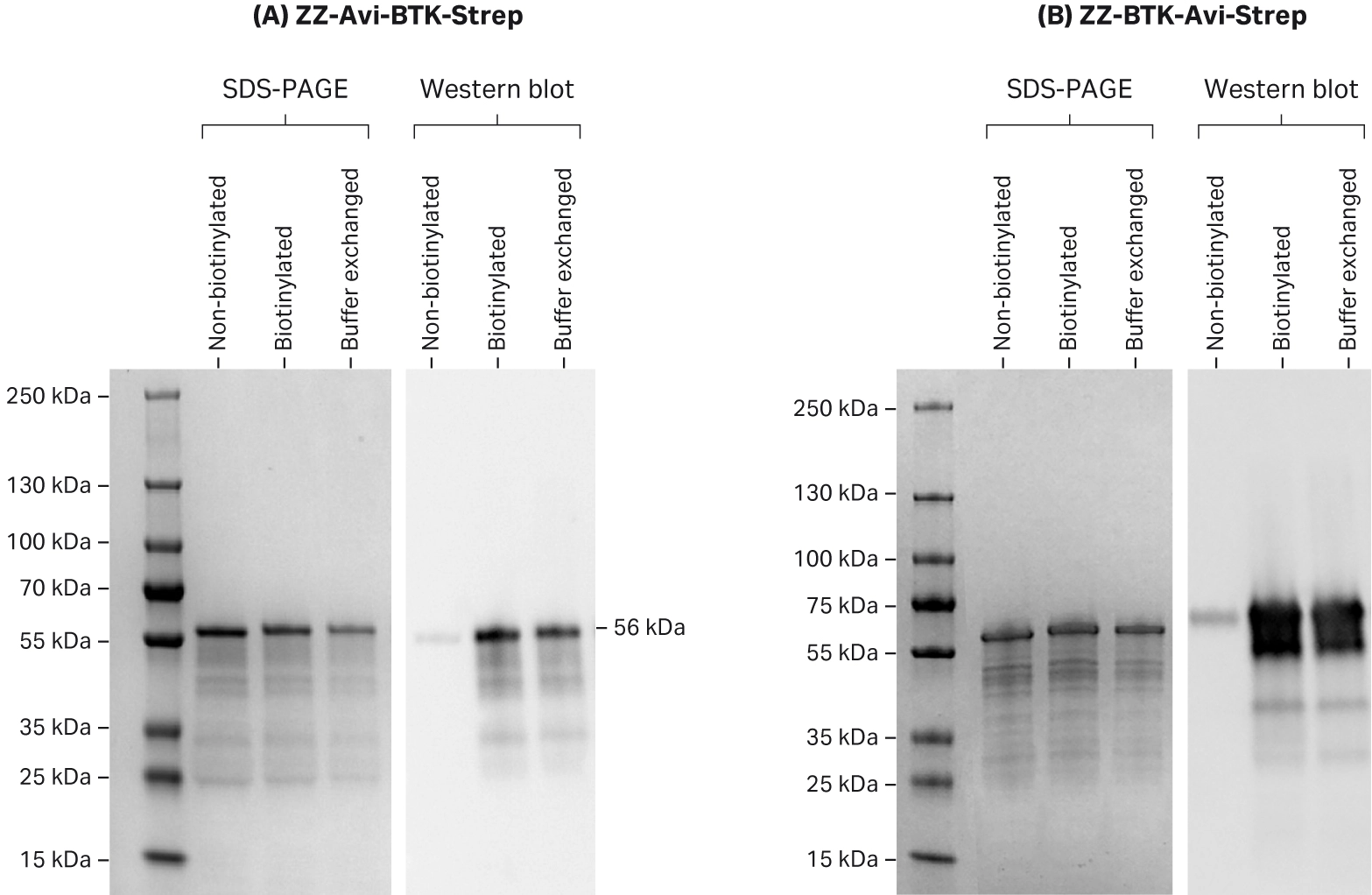
Biotinylation of Avi-tagged BTK was performed using BirA ligase, and excess biotin was removed through three rounds of buffer exchange. Western blot analysis confirmed successful biotinylation of both N- and C-terminal Avi-tagged BTK proteins, showing strong streptavidin signals compared to non-biotinylated controls (Figure 5). This workflow yielded SPR-ready proteins with minimal processing time.

Figure 5. Western blot analysis of N- and C-terminal Avi-tagged BTK(BTK (392-659) biotinylation using Streptavidin-A488. (A) N-terminal Avi-tagged BTK and (B) C-terminal Avi-tagged BTK analyzed at different stages of biotinylation: non-biotinylated, biotinylated and after buffer exchange.

Rapid capture and characterization of BTK variants using Biacore™ SPR systems

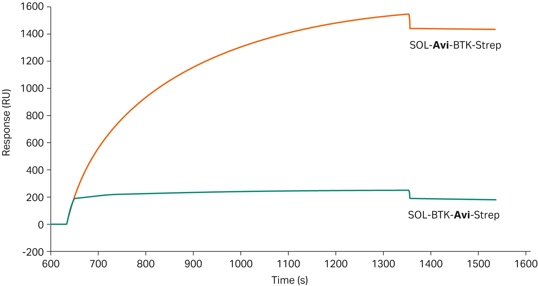
The capture efficiency of BTK variants with Avi-tag and biotinylation placed near the N-terminus and C-terminus was analyzed using Sensor Chip SA and Sensor Chip NA. Figure 6A shows the capture level responses obtained for both variants on Sensor Chip SA.

BTK with N-terminal biotinylation exhibited good capture levels on both sensor chips, while C-terminal biotinylation resulted in poor binding levels, likely due to steric hindrance. Similar capture levels were observed on Sensor chip NA (data not shown). This simple Biacore™ capture assay provides quick insights into the importance of empirical tag placement optimization.

 

(A) Capture of BTK variants on Biacore™ Sensor Chip SA

 

 

(B) Characterization of BTK binding with inhibitors

Figure 6. (A) Biacore™ SPR sensorgrams of N- and C-terminal Avi-tagged BTK (392-659) variants captured on Sensor Chip SA. (B) Biacore Single-Cycle Kinetics (SCK) sensorgrams of fenebrutinib and vecabrutinib (0.4–100 nM) binding to N-terminal biotinylated BTK [SOL-Avi-BTK(392-659)].

The BTK variant with N-terminal biotinylated BTK was chosen for further kinetics studies with the inhibitors fenebrutinib and vecabrutinib. The binding kinetics of BTK to the inhibitors were analysed using Biacore Single-Cycle Kinetics (SCK) assay and evaluated using Biacore Insight Evaluation software. Figure 6B illustrates the binding of fenebrutinib and vecabrutinib to BTK captured on Sensor Chip NA, confirming the activity of Nuclera-expressed BTK towards its inhibitors. A similar binding profile was observed for fenebrutinib interactions with commercial BTK (data not shown). The shape of the sensorgrams for these interactions shows initial rapid binding, followed by slower binding, and then rapid binding again, rather than a concentration-dependent binding that approaches saturation. This pattern suggests a more complex binding mechanism than a simple 1:1 interaction. Similar complex binding profiles have been reported in the literature for various kinase inhibitors8. Further investigations to fully elucidate the complexity of the mechanism behind these interactions are ongoing.

Importantly, the ability to progress from DNA to functional characterization within just five days highlights the power of this integrated workflow. By combining rapid protein production through eProtein Discovery™ with real-time, label-free interaction analysis using Biacore™ system, this approach enables accelerated, data-driven decision-making in kinase drug discovery.

Conclusion

Understanding the structure-activity relationship of drug-target interactions is crucial in drug discovery, as it directly influences a drug’s efficacy and selectivity. This study demonstrates an optimized, high-efficiency workflow for the rapid production and characterization of Bruton’s Tyrosine Kinase (BTK). By integrating Nuclera’s eProtein Discovery™ system with Cytiva’s Biacore™ SPR technology, researchers can screen, scale, capture, and characterize drug targets within five days, dramatically accelerating inhibitor screening and lead optimization. Ultimately, this next-generation approach supports faster, data-driven decision-making, expediting the path toward more selective and effective kinase inhibitors.

References
  1. Cooper, M. A. Optical biosensors in drug discovery. Nat. Rev. Drug Discov. 1, 515–528 (2002). https://doi.org/10.1038/nrd838
  2. Biacore™ systems in discovery and early-stage development of biotherapeutic antibodies digi-18115-pdf
  3. Biacore™ systems in small molecule drug discovery digi-17985-pdf
  4. Montoya, S. et al. Kinase-impaired BTK mutations are susceptible to clinical-stage BTK and IKZF1/3 degrader NX-2127. Science 383, eadi5798 (2024). https://doi.org/10.1126/science.adi5798
  5. Byrd, J. C. et al. Ibrutinib versus ofatumumab in previously treated chronic lymphoid leukemia. N. Engl. J. Med. 371, 213–223 (2014). https://doi.org/10.1056/NEJMoa1509981
  6. Mato, A. R. et al. Outcomes of zanubrutinib-treated patients with chronic lymphocytic leukaemia or small lymphocytic lymphoma: a real-world study. Br. J. Haematol. 201, 1105–1115 (2023). https://doi.org/10.1111/bjh.18418
  7. Dinh, M. et al. Activation mechanism and steady-state kinetics of Bruton’s tyrosine kinase. J. Biol. Chem. 282, 8768–8776 (2007). https://doi.org/10.1074/jbc.m609920200.
  8. Willemsen-Seegers N et al., Compound selectivity and target residence time of Kinase Inhibitors studied with Surface Plasmon Resonance. J. Mol. Biol. 429(4), 574-586 (2017). 10.1016/j.jmb.2016.12.019

Additional Information

Cytiva and the Drop logo are trademarks of Life Sciences IP Holdings Corporation or an affiliate.

Biacore is a trademark of Global Life Sciences Solutions USA LLC or an affiliate.

eProtein Discovery and eGene are trademarks of Nuclera Ltd.

NeutrAvidin is a trademark of Pierce Biotechnology Inc.

Zeba is a trademark of Thermo Fisher Scientific.

All trademarks are the property of their respective owners.

© 2025 Cytiva and Nuclera Ltd

All goods and services are sold subject to the terms and conditions of sale of the supplying company operating within the Cytiva business. A copy of those terms and conditions is available on request.

For additional resources, including Application Notes, please visit https://www.cytiva.com and https://www.nuclera.com/resource-library/ 

CY49486-04Jul25-AN

Did you find what you were looking for?