In this study, we evaluate the mixing performance of LevMixer™ single-use system gen V models 50 L, 100 L, 200 L, 400 L, 650 L, 1000 L, and 1600 L using computational fluid dynamics (CFD). The CFD model was employed to assess mixing time, demonstrating that the mixers achieve homogeneity across various volumes and agitation levels. The CFD analysis provided detailed insights into the distribution of velocity and Kolmogorov scales, as well as the mixing behavior within the tank.
Our findings indicate that the LevMixer™ single-use system gen V models tested are effective in achieving consistent mixing, making them suitable for various bioprocess mixing applications.
Introduction
In the field of bioprocess mixing, managing and minimizing risks associated with aggregation remains a critical challenge, particularly when addressing the complexities of shear, grinding, and hydrophobic interfaces. Among these factors, vortex formation plays a significant role, especially in systems where grinding and friction effects are minimal. In such cases, sensitive mixing is primarily influenced by vortex dynamics, which can lead to undesired aggregation and inefficiency in the mixing process.
The objective of this study is to evaluate single-use mixing performance around a power-to-volume ratio of 3 W/m³, a value that provides a good balance between achieving homogeneity quickly and avoiding undesired vortex formation. Here, we aim to develop and employ computational fluid dynamics (CFD) guidance to assess mixing performance in the 50 L, 100 L, 200 L, 400 L, 650 L, 1000 L, and 1600 L LevMixer™ single-use mixing systems and evaluate the shear through the Kolmogorov eddy size. If the Kolmogorov eddy size is significantly larger than the product of interest (e.g., mAbs, viruses, recombinant proteins, etc.), it may not be affected by eddy shear.
We compare these CFD simulations with experimental data on liquid-liquid mixing times to confirm if there is alignment between predicted and experimental data on the 200 L, 650 L, and 1600 L systems. Additionally, we observe the vortex formation behavior experimentally.
Our goal for this comprehensive approach is to provide valuable insights into enhancing the efficiency of mixing processes while mitigating aggregation risks. An example of a LevMixer™ system gen V we used in this study is shown in Figure 1.
Fig 1. The LevMixer™ drive unit gen V coupled with the LevMixer™ gen V and magnetic mixer 200 L tank.
CFD setup and simulations
Geometry and mesh
We extracted the fluid domain containing tank zone and impeller zone from the 3D model for different working volumes (see Fig 2). To model the interaction between impeller and tank, we used the multiple reference frame (MRF) approach. A polyhedral mesh was created using fluent mesh to ensure an orthogonal quality of 0.3 (see Fig 3).
The total volume of the tank was divided into two zones, the impeller zone and the tank zone. We employed a finer element size for meshing near the impeller faces, where most flow parametric gradients occur.
Fig 2. Fluid domains of LevMixer™ system gen V showing different volume levels in the mixer, where VH is high/maximum volume, VM is medium volume, and VL is low/minimum volume.
Fig 3. (A) The meshed fluid domain of the 50 L LevMixer™ system gen V shows the refined elements near the impeller region (B), along with a cross-sectional view of the domain (C). We employed the same method for the other LevMixer™ systems.
Material properties
Medium
The fluid present in the tank is referred to as medium and below are its physical properties.
- Glucose in WFI 26.25% w/v
- Density = 1107 kg/m3
- Viscosity = 2.674 cP
Tracer
The substance that is introduced into the system for the purpose of mixing is referred to as tracer and below are its physical properties.
- NH4Cl in WFI 10% w/v
- Density = 1029 kg/m3
- Viscosity = 0.981 cP
- Amount of tracer added = 0.1% of total working volume. For all LevMixer™ systems, tracer was added at the rear left corner of the tanks as per physical experiments (see Fig 4).
Models and equations used in CFD
We performed CFD simulations of the mixers using the ANSYS Fluent 2024R1 simulation software. Single-phase analysis was utilized to determine the impeller speed for the given power density values, while a multispecies model was employed to determine the mixing time.
The equations and steps used for computing power, power number, power input, a Kolmogorov eddy scale are given in Equations 1 to 4 below.
- Power (P,Watt) = 2πNT (Eq 1)
- Power number,(Np) = P/(ρN^3 D^5 ) (Eq 2)
- Power input = P/V (Eq 3)
- Kolmogorov eddy scale,("λ") = (〖"(μ/ρ" )〗^3/"ε" )^(1⁄4)(Eq 4)
- N = Impeller speed, rpm
- T = Torque, Nm
- D = Impeller diameter, m
- ρ = Density of medium, kg/m3
- μ = Dynamic viscosity of medium, kg/ms
- V = Working volume of the fluid in the vessel, m3
- ε = Turbulence dissipation rate, m2/s3
Operating conditions
We performed the mixing analysis for all the LevMixer™ systems for three volumes in each mixer size, at three levels of agitation, normalized based on power per unit volume (P/V). The resulting operating conditions are shown in Table 1.
Table 1. Operating conditions used for CFD mixing analysis with the LevMixer™ systems
|
Volume levels |
P/V, |
Volume (L) |
||||||
|
50 L |
100 L |
200 L |
400 L |
650 L |
1000 L |
1600 L |
||
|
VH |
0.5 |
50 |
100 |
200 |
400 |
650 |
1000 |
1600 |
|
3.0 |
||||||||
|
15.0 |
||||||||
|
VM |
0.5 |
33 |
66 |
120 |
240 |
397 |
590 |
800 |
|
3.0 |
||||||||
|
15.0 |
||||||||
|
VM |
0.5 |
22 |
44 |
40 |
140 |
215 |
310 |
145 |
|
3.0 |
||||||||
|
15.0 |
||||||||
Probe map and mixing time estimation
Virtual probes were added to monitor the tracer concentration as shown in Figure 4. The virtual probes were placed at three levels throughout the tank, covering both its width and height at the top (T), middle (M), and bottom (B), Among these, T1 and B2 represent the location of physical probes that were used in the actual experiments.
Fig 4. Location of virtual probes shown on the three vertical cross-section planes of 50 L LevMixer™ system gen V. We applied the same method to the other LevMixer™ systems.
Fig 5. We captured tracer concentration over time and estimated the slowest T95 mixing time for all probes, which we termed as the slowest T95 mixing time.
The horizontal lines in Figure 5 represent 95% and 105% of the tracer concentration, respectively. For each probe, the time required to reach 95% homogeneity was calculated and it is termed as T95 mixing time for the given probe (vertical line, Fig 5). We calculated and averaged the T95 mixing time of each probe, which we termed as "average T95 mixing time". We termed the probe location that takes the longest time to reach the 95% homogeneity in each operating condition as "slowest T95 mixing time".
Results of CFD simulations
Single-phase simulations
We conducted single-phase simulations for the operating conditions given in Table 1 to estimate the power number (Fig 6) and impeller speed (Fig 7) corresponding to the required P/V at each working volume in a mixer. The detailed table of values is available in the appendix, Table 4.
For the 1600 L LevMixer™ system gen V operating at a working volume of 1600 L, the target power-to-volume ratio of 15 W/m³ was not achieved because the maximum power density attainable, corresponding to the highest impeller speed of 210 rpm, is 13.4 W/m³.
Fig 6. Power number with respect to power density (P/V) for each mixer, analyzed at three different levels of volume and power densities (P/V).
Fig 7. Impeller speed with respect to power density (P/V) for each mixer, analyzed at three different levels of volume and power densities (P/V).
Mixing analysis simulations
We performed the mixing time simulations using the species transport model for all mixers at the impeller speeds determined through single-phase simulations. Figure 8 presents a graphical representation of the slowest T95 mixing time relative to P/V. Here, we observed that higher P/V values resulted in faster mixing times compared to lower P/V values, due to the increased turbulence generated in the system at higher P/V.
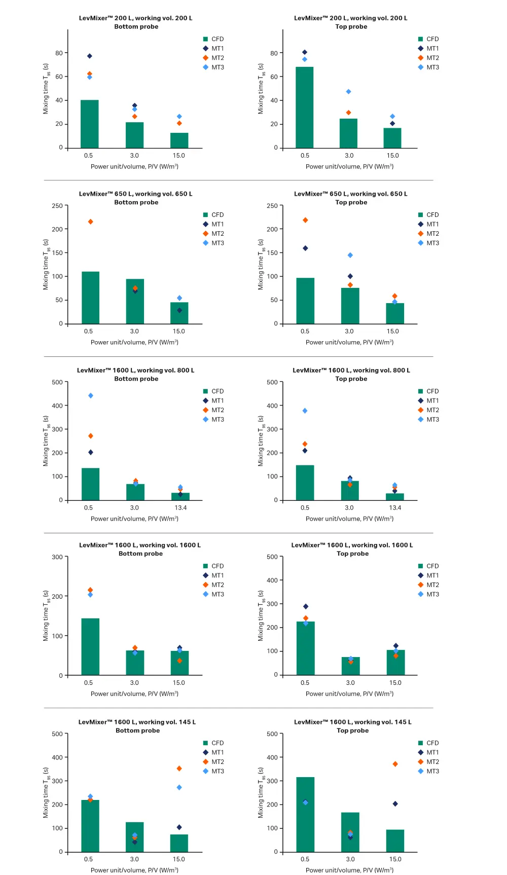
Fig 8. Trendlines showing the slowest T95 mixing times and the locations of the regions with the slowest mixing for each mixer, analyzed at three different levels of volume and agitation. The tank shape depicted in the figure serves as a reference image for illustrating the probe map and does not represent the actual tank size of the respective LevMixer™ systems we used.
Velocity contour
The velocity contour of all LevMixer™ systems at 100% working volume and at 15 W/m3 is shown in Figure 9. For better visualization, the velocity is limited to 0.5 m/s in all contour plots.
The regions immediately surrounding the impeller exhibit significantly higher velocity values and as the distance from the impeller increases, the velocity values tend to decrease gradually. This is a natural consequence of the dissipation of kinetic energy as the fluid moves away from the impeller.
Fig 9. Velocity contours at mid plane of each mixer at 100% working volume and at 15 W/m3.
Kolmogorov eddy
The Kolmogorov eddy size represents the scale of turbulence in fluid flow. A smaller Kolmogorov scale indicates more efficient mixing, as it suggests that energy is dissipated at smaller scales, leading to finer mixing. The equation used to calculate the Kolmogorov eddy size is provided in Equation 4 earlier.
We calculated and plotted the minimum size of Kolmogorov eddies (gmin) in Figure 10 and the values are reported in Table 5 in the appendix section. The contour plots of the Kolmogorov eddy for all LevMixer™ systems at 100% working volume and at 15 W/m3 is shown in Figure 11.
Fig 10. Kolmogorov eddy size with respect to power density (P/V) for each mixer, analyzed at three different levels of volume and power densities (P/V).
Fig 11. Kolmogorov eddy contours at mid plane of each mixer at 100% working volume and at 15 W/m3.
For better visualization, we limited the Kolmogorov eddy size to 350 µm in the contour plots. It is evident from the contour plots that the smallest eddy sizes found in the system are typically near the impeller blade. We observed that the smallest eddy found in the mixers was 7.2 µm, which is much larger than most biological molecules or nanoscopic biosystems of interest (e.g., mAbs, viruses, recombinant proteins, etc.).
Away from the impeller, the Kolmogorov eddy sizes are significantly larger. Therefore, shear is not expected to cause aggregation or denaturation of such entities (1,2).
Experimental liquid-liquid mixing times evaluation
Materials and methods
The materials used for the actual experiments are shown in Table 2.
Table 2. Materials used for experiments
|
Equipment and consumables |
Supplier |
|
LevMixer™ jacketed 1600 L tank |
Cytiva |
|
LevMixer™ jacketed 650 L tank |
Cytiva |
|
LevMixer™ jacketed 200 L tank |
Cytiva |
|
LevMixer™ gen V drive unit |
Cytiva |
|
Conductivity sensors |
Hamilton |
|
1600 L single-use biocontainer |
Cytiva |
|
650 L single-use biocontainer |
Cytiva |
|
200 L single-use biocontainer |
Cytiva |
|
Demineralized water |
NA |
|
Dextrose GMP+ |
Indufarm |
|
Ammonium chloride ≥ 98% |
VWR |
For each experiment, we installed the LevMixer™ system according to the instructions for use. A LAUDA Variocool VC 10000 temperature control unit (TCU) was connected and used with each tank.
We then installed the single-use mixing system and inflated it with air to obtain a final 3D and cubical shape, and both precalibrated conductivity sensors were positioned at their predefined locations as shown on Figure 12.
We filled the single-use system with demineralized water to 50% of the nominal mixer volume and started mixing at the max. impeller speed of 210 rpm. We initiated the TCU at a setpoint of 40°C to dissolve the dextrose. When the approximative temperature of 40°C was reached (not critical to be exactly at 40°C), we added the required quantity of dextrose through the powder port to achieve a final concentration of 26.25% in the end nominal volume.
After the addition of dextrose was completed, we filled the mixer up to 100% of the nominal volume with demineralized water. The temperature setpoint was changed and maintained at 20°C during the testing to maintain a constant temperature. We checked that the viscosity was in the range of 2.5 to 3.0 cP.
We recorded data for both conductivity sensors with a sample interval of 1 data/3 s. For each tank size, the experiment was started at the maximum speed and volume. Each time the setpoint of the speed was changed, 1 min was allowed to ensure stability of mixing was reached. We visually checked the vortex formation and described it (see Table 6 in the appendix). Then 1% (of the working volume in the mixer) from a 10% ammonium chloride (NH4Cl) solution was poured in the mixer with a graduated cylinder on the opposite side to the "top" conductivity sensor position, through a fixed funnel.
We generated mixing times in triplicate for each speed tested (see Table 3). For each data point, we allowed 5 min of stabilization to confirm that mixing was achieved.
Fig 12. Schematic drawing of a LevMixer™ biocontainer with both indicative conductivity sensor locations—sensor 1 (sensor port) and sensor 2 (top liquid level and opposite side to point of salt addition). We submerged the sensor 5 cm from the surface and positioned at around 5 cm from the tank walls and point of salt addition (opposite corner to sensor 2 location).
After testing at the max. volume, we drained a predefined volume to get to the next volume to be tested until the experiment was completed. Table 3 below contains a summary of all the volumes and speeds tested. Those speeds were determined by CFD simulation and selected in order to keep the ratio power/volume constant for the different tank sizes and working volumes.
Table 3. Volumes and speeds tested
|
200 L LevMixer™ system gen V |
650 L LevMixer™ system gen V |
1600 L LevMixer™ system gen V |
||||||
|
Volume |
Impeller |
P/V (W/m³) |
Volume |
Impeller |
P/V (W/m³) |
Volume |
Impeller |
P/V (W/m³) |
|
speed (rpm) |
speed (rpm) |
speed (rpm) |
||||||
|
200 L (100%) |
36.8 |
0.5 |
650 L (100%) |
51.9 |
0.49 |
145 L (MMV) |
52.1 |
0.53 |
|
66.8 |
3 |
94.3 |
3.00 |
94.6 |
3 |
|||
|
114.2 |
14.9 |
161.2 |
15.07 |
161.8 |
14.95 |
|||
|
210 |
91.5 |
210.0 |
33.45 |
800 L (50%) |
55 |
0.49 |
||
|
100 |
3 |
|||||||
|
170.8 |
14.57 |
|||||||
|
210 |
27.1 |
|||||||
|
1600 L (100%) |
70.7 |
0.51 |
||||||
|
128.5 |
3 |
|||||||
|
210 |
13.35 |
|||||||
Mixing times
The mixing time (T95) was evaluated for each sensor. The T95, which is the time it takes to achieve 95% of the end value and stabilize within a range of the end value ± 5% (95% to 105%), was determined for both sensors and the longest mixing time was used as the final T95 (Fig 13).
Fig 13. Example of a chart showing a conductivity shift with stable reading in the range of ± 5%.
Results and discussion
Results presented in Figure 14 and Table 6 (appendix) show that the 200 L LevMixer™ system gen V exhibits the fastest mixing time without vortex formation, with 77 s for a low impeller speed of 37 rpm, corresponding to 0.5 W/m³ and 25 s for the higher impeller speed of 114 rpm corresponding to 15 W/m3. Similarly for the 650 L, the fastest mixing time which could be obtained without vortex formation was of 111 s for an impeller speed of 94 rpm, corresponding to 3 W/m³.
For more sensitive applications, we showed that a slowest mixing time of around 222 s was obtained with an impeller speed of 52 rpm, corresponding to 0.5 W/m³. Regarding the 1600 L and fully characterized new mixer size, mixing times achieved at various volumes were as follows:
- Nominal volume: 81 s without vortex at 128 rpm, corresponding to 3 W/m³; and 307 s without vortex, at an impeller speed of 71 rpm, corresponding to 0.5 W/m³.
- Fifty percent of the nominal volume (800 L): 102 s without vortex at impeller speed of 100 rpm, corresponding to 3 W/m³; and 249 s without vortex for impeller speed of 55 rpm, corresponding to 0.5 W/m³.
- "Just above" the minimum mixing volume (145 L): The mixing time of around 230 s was obtained with an impeller speed of 52 rpm, corresponding to 0.5 W/m³, without vortex.
The results demonstrate the capability of the LevMixer™ systems to mix efficiently at low impeller speeds without vortex formation within 5 min (vortex observations can be found (Table 6, see the appendix) indicating that the technology is suitable for applications requiring gentle mixing.
Comparison of actual experiments and CFD simulations
The mixing time values predicted by the CFD analysis were compared against the actual experiments and the graphical representation of the results are shown in Figure 14.
The mixing time values predicted by CFD closely match the experimental results at higher P/V values of 3.0 W/m³ and 15.0 W/m³ for all the mixers tested, except for the MMV in the 1600 L tank where the 15.0 W/m³ exhibited longer mixing times and higher variability. We suggest that this was probably due to the turbulence generated by the air bubbles.
However, at the lower P/V of 0.5 W/m³, we observe that the actual experiment shows a slower mixing time than predicted by CFD. Additionally, we see that the experimental mixing times at 0.5 W/m³ showed a higher variability compared to higher P/V values.
Fig 14. Comparison of CFD-predicted mixing time (MT) vs actual experiments. MT1, 2, and 3 are experimental replicates.
Conclusions
The CFD simulations provided valuable insights into the fluid flow and velocity distribution within the mixers, which we validated by the experimental results. The mixing time values predicted by CFD closely matched the experimental results at higher P/V values, while we observed some discrepancies at lower P/V values. These discrepancies can be attributed to increased variability and lower turbulence at lower rpm, or higher turbulence with the air bubbes generated at 15 W/m³.
Our study of Kolmogorov eddies revealed that the eddies are much larger than most biological molecules or nanoscopic biosystems of interest, ensuring that shear is not expected to cause aggregation or denaturation of such entities.
CFD and actual experiments confirms that LevMixer™ systems achieve homogeneity across different volumes and agitation levels, making them suitable for various bioprocessing applications.
The characterization data produced in this application note can be used as a guidance to help determine the working speed range for the different tank sizes and working volumes we selected and studied.
A slower speed with the absence of a vortex is always best to apply especially if the homogenization time is not critical in processes. However, selecting the highest speed without vortex may be an approach to be balanced with a fast homogenization time and reducing the risk of introducing undesired air bubbles.
References
- Nienow AW. The impact of fluid dynamic stress in stirred bioreactors—the scale of the biological entity: A personal view. Chemie Ingenieur Technik 2020;93(1-2):17-30.
- Thomas CR, Geer D. Effects of shear on proteins in solution. Biotechnol Lett. 2010;33(3): 443-456. doi: 10.1007/s10529-010-0469-4.
Acknowledgments
Nagaraj Rao—Principal analysis and modeling engineer, Mustapha Hohoud—Senior bioprocess engineer, and Arnaud de Boulard—Principal applications specialist were the scientists who performed this study.
Appendix
Results of the single-phase simulations
Table 4. Results of single-phase analysis—estimation of the power number and impeller speed
|
LevMixer™ gen V model |
Volume (L) |
P/V (W/m3) |
Power number |
Agitation (rpm) |
|
LM50 |
50 |
0.5 |
3.48 |
24.90 |
|
3.0 |
2.90 |
45.30 |
||
|
15.0 |
2.88 |
77.40 |
||
|
33 |
0.5 |
3.00 |
22.30 |
|
|
3.0 |
2.49 |
40.50 |
||
|
15.0 |
2.56 |
69.30 |
||
|
22 |
0.5 |
1.82 |
23.30 |
|
|
3.0 |
1.74 |
42.40 |
||
|
15.0 |
1.63 |
72.50 |
||
|
LM100 |
100 |
0.5 |
3.68 |
30.12 |
|
3.0 |
3.50 |
54.73 |
||
|
15.0 |
3.27 |
93.59 |
||
|
66 |
0.5 |
3.49 |
27.05 |
|
|
3.0 |
2.95 |
49.15 |
||
|
15.0 |
2.99 |
84.05 |
||
|
44 |
0.5 |
2.28 |
25.13 |
|
|
3.0 |
2.89 |
45.66 |
||
|
15.0 |
2.17 |
78.07 |
||
|
LM200 |
200 |
0.5 |
3.70 |
36.45 |
|
3.0 |
3.70 |
66.26 |
||
|
15.0 |
3.55 |
114.81 |
||
|
120 |
0.5 |
3.64 |
30.93 |
|
|
3.0 |
3.57 |
56.57 |
||
|
15.0 |
3.25 |
99.73 |
||
|
40 |
0.5 |
1.56 |
28.56 |
|
|
3.0 |
1.43 |
53.52 |
||
|
15.0 |
1.24 |
95.52 |
||
|
LM400 |
400 |
0.5 |
4.07 |
45.03 |
|
3.0 |
4.06 |
81.83 |
||
|
15.0 |
3.88 |
139.93 |
||
|
240 |
0.5 |
3.70 |
37.33 |
|
|
3.0 |
4.07 |
68.17 |
||
|
15.0 |
4.14 |
116.01 |
||
|
140 |
0.5 |
3.29 |
34.28 |
|
|
3.0 |
3.34 |
62.28 |
||
|
15.0 |
3.11 |
106.51 |
||
|
LM650 |
650 |
0.5 |
4.07 |
51.9 |
|
3.0 |
4.17 |
94.3 |
||
|
15.0 |
4.19 |
161.2 |
||
|
397 |
0.5 |
3.78 |
45.5 |
|
|
3.0 |
4.2 |
79.8 |
||
|
15.0 |
4.16 |
136.5 |
||
|
215 |
0.5 |
3.4 |
38.6 |
|
|
3.0 |
3.32 |
70.2 |
||
|
15.0 |
3.35 |
120.1 |
||
|
LM1000 |
1000 |
0.5 |
4.12 |
60.0 |
|
3.0 |
4.16 |
109.0 |
||
|
15.0 |
4.2 |
186.3 |
||
|
590 |
0.5 |
3.95 |
50.2 |
|
|
3.0 |
4.18 |
91.2 |
||
|
15.0 |
4.23 |
155.9 |
||
|
310 |
0.5 |
3.44 |
42.8 |
|
|
3.0 |
3.53 |
77.8 |
||
|
15.0 |
3.55 |
133.0 |
||
|
LM1600 |
1600 |
0.5 |
4.12 |
70.7 |
|
3.0 |
4.08 |
128.5 |
||
|
13.4 |
4.13 |
210.0 |
||
|
800 |
0.5 |
4.25 |
55.0 |
|
|
3.0 |
4.32 |
100.0 |
||
|
15.0 |
4.19 |
170.8 |
||
|
145 |
0.5 |
0.98 |
52.1 |
|
|
3.0 |
0.92 |
94.6 |
||
|
15.0 |
0.92 |
161.8 |
Results of mixing time simulations
Table 5. Results of CFD mixing analysis—estimation of T95 mixing time
|
LevMixer™ gen V model |
Volume |
P/V |
Power |
Agitation |
CFD average |
CFD slowest |
Probe location |
Kolmogorov eddy size (µm) |
|
LM50 |
50 |
0.5 |
3.48 |
24.9 |
32.6 |
37.1 |
T8 |
28.1 |
|
3.0 |
2.90 |
45.3 |
15.5 |
18.3 |
T7 |
22.3 |
||
|
15.0 |
2.88 |
77.4 |
8.9 |
11.5 |
T7 |
15.8 |
||
|
33 |
0.5 |
3.00 |
22.3 |
27.8 |
34.8 |
B1 |
35.1 |
|
|
3.0 |
2.49 |
40.5 |
20.7 |
24.5 |
B7 |
30.1 |
||
|
15.0 |
2.56 |
69.3 |
12.2 |
14.9 |
B1 |
23.5 |
||
|
22 |
0.5 |
1.82 |
23.3 |
31.6 |
42.6 |
B3 |
39.9 |
|
|
3.0 |
1.74 |
42.4 |
15.8 |
22.3 |
B7 |
28.9 |
||
|
15.0 |
1.63 |
72.5 |
9.1 |
12.4 |
B7 |
22 |
||
|
LM200 |
200 |
0.5 |
3.70 |
36.45 |
61.4 |
74.5 |
M5 |
22.3 |
|
3.0 |
3.70 |
66.26 |
25.3 |
30.9 |
T6 |
15.5 |
||
|
15.0 |
3.55 |
114.81 |
15.5 |
20.5 |
T9 |
11.3 |
||
|
120 |
0.5 |
3.64 |
30.93 |
54.1 |
67.4 |
T8 |
23.5 |
|
|
3.0 |
3.57 |
56.57 |
28.1 |
35.8 |
T2 |
16.0 |
||
|
15.0 |
3.25 |
99.73 |
12.4 |
14.9 |
T4 |
12.0 |
||
|
40 |
0.5 |
1.56 |
28.56 |
57.0 |
71.8 |
B5 |
28.1 |
|
|
3.0 |
1.43 |
53.52 |
28.4 |
34.4 |
T5 |
19.7 |
||
|
15 |
1.24 |
95.52 |
16.2 |
21.2 |
B7 |
14.5 |
||
|
LM650 |
650 |
0.5 |
4.07 |
51.9 |
103.5 |
115.5 |
T7 |
14.9 |
|
3.0 |
4.17 |
94.3 |
85.2 |
102.6 |
T2 |
10.5 |
||
|
15.0 |
4.19 |
161.2 |
46.9 |
56.0 |
T4 |
8.1 |
||
|
397 |
0.5 |
3.78 |
45.5 |
80.2 |
100.6 |
T8 |
16.8 |
|
|
3.0 |
4.20 |
79.8 |
67.3 |
88.8 |
T2 |
11.9 |
||
|
15.0 |
4.16 |
136.5 |
43.6 |
55.7 |
T8 |
9.2 |
||
|
215 |
0.5 |
3.40 |
38.6 |
67.1 |
112.5 |
B5 |
20.1 |
|
|
3.0 |
3.32 |
70.2 |
48.6 |
63.7 |
B2 |
14.1 |
||
|
15.0 |
3.35 |
120.1 |
29.0 |
38.0 |
B2 |
9.9 |
||
|
LM1000 |
1000 |
0.5 |
4.12 |
60.0 |
170.1 |
223.8 |
T4 |
16.1 |
|
3.0 |
4.16 |
109.0 |
81.8 |
108.8 |
M8 |
11.7 |
||
|
15.0 |
4.20 |
186.3 |
55.9 |
73.4 |
T6 |
9.1 |
||
|
590 |
0.5 |
3.95 |
50.2 |
193.4 |
284.5 |
M4 |
18.2 |
|
|
3.0 |
4.18 |
91.2 |
123.2 |
151.7 |
M2 |
13.1 |
||
|
15.0 |
4.23 |
155.9 |
77.7 |
99.9 |
M6 |
10.1 |
||
|
310 |
0.5 |
3.44 |
42.8 |
72.9 |
89.5 |
T2 |
20.6 |
|
|
3.0 |
3.53 |
77.8 |
45.1 |
54.1 |
T6 |
14.3 |
||
|
15.0 |
3.55 |
133.0 |
25.5 |
31.6 |
T1 |
10.6 |
||
|
LM1600 |
1600 |
0.5 |
4.12 |
70.7 |
134.9 |
163.9 |
T3 |
12.4 |
|
3.0 |
4.08 |
128.5 |
66.1 |
81.5 |
T1 |
9.2 |
||
|
13.4 |
4.13 |
210.0 |
38.9 |
49.1 |
T6 |
7.2 |
||
|
800 |
0.5 |
4.25 |
55.0 |
207.7 |
265.1 |
M8 |
14.7 |
|
|
3.0 |
4.32 |
100.0 |
93.2 |
119.9 |
M8 |
10.3 |
||
|
15.0 |
4.19 |
170.8 |
67.9 |
81.6 |
M2 |
8.2 |
||
|
145 |
0.5 |
0.98 |
52.1 |
268.2 |
388.5 |
T7 |
20.2 |
|
|
3.0 |
0.92 |
94.6 |
149.5 |
215.8 |
B5 |
14.6 |
||
|
15.0 |
0.92 |
161.8 |
84.8 |
117.3 |
B5 |
11.1 |
Results of mixing experiments
Table 6. T95 mixing time values and observations regarding vortex from actual experiments
|
LM tank |
Filling volume |
Agitation, |
Probe |
T95 mixing time (s) |
CFD T95 |
Vortex observation |
|||
|
MT1 |
MT2 |
MT3 |
Mean |
||||||
|
LM200 |
200 (100%) |
114 |
Top |
21.0 |
27.0 |
27.0 |
25.0 |
15.5 |
> 3 cm continuous and > 10 cm for more than 50% of the time. |
|
Bottom |
21.0 |
21.0 |
27.0 |
23.0 |
15.0 |
||||
|
67 |
Top |
48.0 |
30.0 |
48.0 |
42.0 |
31.8 |
> 3 cm continuous and > 10 cm for more than 50% of the time. |
||
|
Bottom |
36.0 |
27.0 |
33.0 |
32.0 |
27.2 |
||||
|
37 |
Top |
81.0 |
75.0 |
75.0 |
77.0 |
56.5 |
Small dimples observed on the surface but no vortex. |
||
|
Bottom |
78.0 |
63.0 |
60.0 |
67.0 |
45.7 |
||||
|
LM650 |
650 (100%) |
161 |
Top |
30.0 |
57.0 |
57.0 |
48.0 |
46.7 |
No vortex observed, only small dimples on surface. |
|
Bottom |
48.0 |
60.0 |
48.0 |
52.0 |
44.8 |
||||
|
94 |
Top |
72.0 |
78.0 |
ND* |
75.0 |
97.3 |
No vortex observed. |
||
|
Bottom |
102.0 |
84.0 |
147.0 |
111.0 |
77.8 |
||||
|
52 |
Top |
ND* |
222.0 |
ND* |
222.0 |
113.9 |
No vortex observed. |
||
|
Bottom |
162.0 |
222.0 |
ND* |
192.0 |
98.8 |
||||
|
LM1600 |
1600 (100%) |
210 |
Top |
39.0 |
54.0 |
63.0 |
52.0 |
28 |
< 3 cm most of the time. > 10 cm in less than 50% of the time. |
|
Bottom |
27.0 |
48.0 |
57.0 |
44.0 |
32.7 |
||||
|
128 |
Top |
93.0 |
66.0 |
84.0 |
81.0 |
81.5 |
No vortex. |
||
|
Bottom |
75.0 |
84.0 |
72.0 |
77.0 |
69.4 |
||||
|
71 |
Top |
210.0 |
237.0 |
378.0 |
275.0 |
147.8 |
No vortex. |
||
|
Bottom |
204.0 |
273.0 |
444.0 |
307.0 |
137.6 |
||||
|
800 (50%) |
171 |
Top |
60.0 |
57.0 |
69.0 |
62.0 |
76.0 |
No vortex, only small dimples observed on the surface. |
|
|
Bottom |
6.90 |
36.0 |
63.0 |
56.0 |
61.1 |
||||
|
100 |
Top |
123.0 |
81.0 |
102.0 |
102.0 |
106.7 |
No vortex. |
||
|
Bottom |
60.0 |
69.0 |
57.0 |
62.0 |
61.7 |
||||
|
55 |
Top |
288 |
240.0 |
219.0 |
249.0 |
224.8 |
No vortex. |
||
|
Bottom |
216.0 |
216.0 |
204.0 |
212.4 |
144 |
||||
|
145 (9%, MMV) |
162 |
Top |
207.0 |
378.0 |
ND* |
292.5 |
96.9 |
Splashing and air bubbles produced. |
|
|
Bottom |
108.0 |
360.0 |
279.0 |
249.0 |
76.6 |
||||
|
95 |
Top |
63.0 |
84.0 |
78.0 |
75.0 |
171.3 |
Splashing and air bubbles produced. |
||
|
Bottom |
45.0 |
63.0 |
75.0 |
61.0 |
128.5 |
||||
|
52 |
Top |
216.0 |
ND |
213.0 |
214.5 |
321.8 |
Dimples created on the surface, no vortex observed. |
||
|
Bottom |
225.0 |
225.0 |
240.0 |
230.0 |
224.3 |
||||
CY51255